SEM merupakan metode analisis multivariat yang dapat digunakan untuk menggambarkan keterkaitan hubungan linier secara simultan antara variabel pengamatan/yang dapat diukur langsung (indikator/manifest) dan variabel yang tidak dapat diukur secara langsung (variabel laten). Variabel laten merupakan variabel tak teramati (unobserved) atau tak dapat diukur (unmeasured) secara langsung. Terdapat dua tipe variabel laten dalam SEM yaitu endogen dan eksogen. Variabel laten endogen adalah variabel laten yang minimal pernah menjadi variabel tak bebas dalam satu persamaan, meskipun dalam persamaan lain di dalam model tersebut menjadi variabel bebas. Variabel laten eksogen adalah variabel laten yang berperan sebagai variabel bebas dalam model. SEM merupakan gabungan dari analisis jalur, analisis faktor konfirmatori dan analisis regresi. Secara garis besar system persamaan struktural terdiri dari model struktural (structural model) yaitu model yang menggambarkan hubungan antar peubah laten dan model pengukuran ( measurement model) yaitu model yang menggambarkan hubungan antara peubah laten dengan peubah manifestnya. Adapun langkah-langkah dalam permodelan SEM adalah sebagai berikut:
Pengembangan sebuah model berbasis teori
Langkah pertama dalam SEM adalah melakukan identifikasi secara teoritis terhadap permasalahan penelitian. Topik penelitian ditelaah secara mendalam dan hubungan antara variabel-variabel yang akan dihipotesiskan harus didukung oleh justifikasi teori yang kuat. Langkah ini mutlak harus dilakukan dan setiap hubungan yang akan digambarkan dalam langkah lebih lanjut harus mempunyai dukungan teori yang kuat. Pernyataan dalam hubungan antar variabel dalam model harus memenuhi syarat kausalitas (Gudono, 2006:4). Tiga syarat kausalitas tersebut antara lain:
- Antara dua variabel (misalnya X dan Y) sama-sama berubah nilainya. Dengan kata lain, ada kovarian ataupun korelasi antara X dan Y. Namun demikian syarat ini saja tidak cukup bilamana ternyata ada variabel ketiga yang menjadi penyebab keduanya.
- Penyebab (misalnya X) terjadi lebih dahulu (dari aspek waktu) dibandingkan dengan yang disebabkan (misalnya Y).
- Peneliti telah menghilangkan kemungkinan faktor-faktor lain sebagai penyebab perubahan variabel dependen (misalnya Y). Syarat ini cukup sulit untuk dipenuhi, karena kenyataannya didunia ini ada banyak sekali variabel yang saling mempengaruhi.
Pengembangan diagram jalur / path diagram
Setelah memastikan adanya hubungan sebab akibat pada tahap pertama, langkah selanjutnya yang dilakukan adalah menyusun diagram jalur untuk hubungan – hubungan tersebut. Ada dua hal yang perlu dilakukan yaitu menyusun model struktural yaitu menghubungkan antar variabel laten baik endogen maupun eksogen dan menyusun measurement model yaitu menghubungkan variabel laten endogen atau eksogen dengan variabel manifest.
Konversi diagram jalur ke persamaan struktural dan pengukuran
Langkah ketiga adalah mengkonversikan diagram jalur ke dalam persamaan, baik persamaan struktural maupun persamaan model pengukuran. Sebenarnya langkah ini telah dilakukan secara otomatis oleh program SEM yang tersedia (AMOS). Berikut adalah contoh persamaan umum struktural:
Variabel Endogen = Variabel Eksogen + Kesalahan estimasi
Sebagai ilustrasi, model persamaan adalah pengaruh antara motivasi (MT) terhadap kepuasan (KP), dan selanjutnya kepuasan terhadap kinerja (KN). Jadi persamaan strukturalnya adalah:
KP = γ1 MT + z1
KN = γ2 KP + z2
Dengan z1 adalah kesalahan estimasi antara motivasi terhadap kepuasan dan z2 adalah kesalahan estimasi antara kepuasan terhadap kinerja; dan γ1 adalah koefisien regresi motivasi ke kepuasan, dan γ2 adalah koefisien regresi kepuasan ke kinerja. Sebagai ilustrasi, motivasi diukur dengan tiga indikator MT1, MT2 dan MT3, maka persamaan model pengukurannya adalah:
MT1 = β1 MT + e1
MT2 = β2 MT + e2
MT3 = β3 MT + e3
Dengan β1 adalah loading faktor indikator MT1 ke konstruk motivasi, β2 adalah loading faktor MT2 ke konstruk motivasi dan β3 adalah loading faktor indikator MT3 ke konstruk motivasi; e1 adalah kesalahan pengukuran indikator MT1, e2 adalah kesalahan pengukuran indikator MT2 dan e3 adalah kesalahan pengukuran indikator MT3.
Pemilihan matriks input dan estimasi model
Pada awalnya model persamaan struktural diformulasikan dengan menggunakan input matriks varian / kovarian. matriks kovarian memiliki kelebihan daripada matriks korelasi dalam memberikan validitas perbandingan antara populasi yang berbeda atau sampel yang berbeda (Ghozali, 2007:63). namun demikian interpretasi atas dasar unit pengukuran variabel. Matriks korelasi dalam model persamaan struktural tidak lain adalah standardize varian dan kovarian. Penggunaan korelasi cocok jika tujuan penelitiannya hanya untuk
memahami pola hubungan antar variabel. Penggunaan lain adalah untuk membandingkan beberapa variabel yang berbeda. Matriks kovarian mempunyai kelebihan dibandingkan matriks korelasi dalam memberikan validitas perbandingan antara populasi yang berbeda atau sampel yang berbeda. Namun matriks kovarian lebih rumit karena nilai koefisien harus diinterpretasikan atas dasar unit pengukuran.
Estimasi model yang diusulkan adalah tergantung dari jumlah sampel penelitian, dengan kriteria sebagai berikut (Dilalla, 2000:447)
- Antara 100 – 200 : Maksimum Likelihood (ML)
- Antara 200 – 500 : Maksimum Likelihood atau Generalized Least Square (GLS)
- Antara 500 – 2500 : Unweighted Least Square (ULS) atau Scale Free Least Square (SLS)
- Di atas 2500 : Asymptotically Distribution Free (ADF)
Rentang di atas hanya merupakan acuan saja dan bukan merupakan ketentuan. Bila ukuran sampel di bawah 500 tetapi asumsi normalitas tidak terpenuhi bisa saja menggunakan ULS atau SLS.
Melakukan identifikasi model struktural
Model struktural dikatakan baik apabila memiliki satu solusi untuk satu estimasi parameter. Dalam satu model sangat mungkin memiliki banyak solusi, sehingga dipilih solusi yang sesuai. Pemilihan solusi yang sesuai itu yang sering disebut dengan masalah identifikasi.
Hal yang berkaitan dengan masalah identifikasi model struktural adalah ketika proses estimasi berlangsung, sering diperoleh hasil estimasi yang tidak logis. Cara melihat ada atau tidaknya problem identifikasi adalah dengan melihat hasil estimasi yang meliputi:
- Adanya nilai standar eror yang besar untuk satu atau lebih koefisien
- Nilai estimasi yang tidak mungkin, misalnya variansi eror yang bernilai negatif
- Adanya nilai korelasi yang tinggi (>0.90) antar koefisien estimasi.
Ketika masalah identifikasi terjadi, maka model tersebut menjadi unidentified. Untuk memecahkan suatu sistem persamaan agar memperoleh solusi pada SEM, maka model tersebut harus teridentifikasi. Ada 3 kemungkinan identifikasi yang terjadi pada model SEM, yaitu:
a. Model unidentified
Model ini terjadi jika parameter-parameter model tidak dapat diestimasi.
b. Model just identified
Pada model teridentifikasi, estimasi yang didapatkan adalah tunggal/unik.
c. Model over identified
Model ini terjadi jika solusi yang dihasilkan tidak tunggal atau berlebih.
Evaluasi kriteria Goodness of fit
1. Evaluasi asumsi SEM
Asumsi Normalitas Multivariat
Software Amos menyediakan penilaian normalitas dengan melihat angka skewness dan kurtosis. Skewness adalah derajat ketidaksimetrisan suatu distribusi. Jika kurva frekuensi suatu distribusi memiliki ekor yang lebih memanjang ke kanan (dilihat dari meannya) maka dikatakan menceng kanan (positif) dan jika sebaliknya maka menceng kiri (negatif). Secara perhitungan, skewness adalah momen ketiga terhadap mean. Distribusi normal memiliki skewnessnol. Kurtosis adalah derajat keruncingan suatu distribusi (biasanya diukur relatif terhadap distribusi normal). Kurva yang lebih lebih runcing dari distribusi normal dinamakan leptokurtik, yang lebih datar platikurtik dan distribusi normal disebut mesokurtik. Kurtosis dihitung dari momen keempat terhadap mean. Distribusi normal memiliki nilaikurtosis 3 (Byrne, 2005: 103).
Selain itu, Uji Normalitas pada AMOS dapat dilakukan dengan melihat nilai critical ratio pada output Assessment of normality. Data dikatakan memenuhi asumsi normalitas multivariate apabila nilai critical rationya kurang dari ± 2,58.
Outliers
Outliers dapat dideteksi dengan melihat jarak mahalanobis untuk tiap-tiap observasi. Jarak mahalanobis ini akan dibandingkan dengan nilai chi square table dimana derajat bebasnya adalah jumlah variabelnya. Data yang memiliki jarak mahalanobis lebih besar dari nilai chi square table merupakan outliers.
Multicollinearity dan Singularity
Pada asumsi Multicollinearity dan Singularity yang perlu diamati adalah diterminan dari matrik kovarian sampelnya determinan yang kecil atau mendekati nol mengindikasikan adanya multikolinearitas atau singularitas, sehingga data tersebut tidak dapat digunakan untuk penelitian.
2. Uji kesesuaian dan uji statistik
Chi-Square statistic
Semakin kecil nilai c2 semakin baik model itu, dan diterima berdasarkan probabilitas dengan cut-off value sebesar p > 0,05 atau p > 0,010.
RMSEA (The Root Mean Square Error of Approximation)
RMSEA merupakan ukuran yang mencoba memperbaiki kecenderungan statistik c2 menolak model dengan jumlah sampel besar. Nilai RMSEA antara 0.05 sampai 0.08 merupakan ukuran yang dapat diterima (Hair et.al, 1998:748). Hasil uji empiris RMSEA cocok untuk menguji model konfirmatori dengan jumlah sampel besar.
Dengan:
Tm = nilai statistik uji c2 model yang dianalisis
dbm = derajat bebas pengujian model yang dianalisis
n = jumlah sampel
GFI (Goodness of fit Index)
GFI merupakan ukuran non statistical yang mempunyai rentang nilai antara 0 sampai dengan 1. Nilai yang tinggi dalam indeks ini menunjukkan sebuah “better fit”.
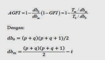
AGFI (Adjusted Goodness of Fit Index)
Merupakan pengembangan dari GFI yang disesuaikan dengan ratio degree of freedom untuk proposed modeldengan degree of freedom untuk null model. Nilai yang direkoomendasikan adalah ≥ 0.90.

CMIN/DF (The Minimum Sample Discrepancy Function Devided with degrre of Freedom)
CMIN/DF merupakan statistic chisquare c2 dibagi degree of freedom-nya sehingga disebut c2 relative.
TLI (Tucker Lewis Indeex)
TLI merupakan incremental index yang membandingkan sebuah model yang diuji terhadap sebuah baseline model . Ukuran ini menggabungkan ukuran parsimony ke dalam indeks komparasi antara proposed model dan null model. Nilai TLI berkisar antara 0 sampai 1.0. nilai TLI yang direkomendasikan adalah ≥ 0.90.
Dengan:
Ti = nilai statistik uji c2 model independen
Tm = nilai statistik uji c2 model yang dianalisis
dbi = derajat bebas pengujian model independen
dbm = derajat bebas pengujian model yang dianalisis
CFI (Comparative Fit Index)
CFI rentang nilai sebesar 0-1, dimana semakin mendekati 1, mengindikasikan tingkat fit yang paling tinggi.
Berikut adalah table goodness of fit index
| Goodness of Fit Index |
Cut off Value |
| X2-Chi Square |
Diharapkan Kecil |
| Significance Probability |
≥ 0,05 |
| RMSEA |
≤ 0,08 |
| GFI |
≥ 0,90 |
| AGFI |
≥ 0,90 |
| CMIN/DF |
≤ 2,00 |
| TLI |
≥ 0,90 |
| CFI |
≥ 0,95 |
3. Uji Reliability dan Varience Extract.

Uji reliabilitas, dimana nilai reliabilitas yang diterima adalah ³ 0,70 Uji reliabilitas dalam SEM dapat diperoleh melalui rumus sebagai berikut :
l Variance Extract, dimana nilai yang dapat diterima adalah ³0,50 rumus yang digunakan adalah sebagai berikut :

4. Uji Validitas
Sebuah indikator dimensi menunjukan validitas yang signifikan apabila memenuhi syarat. Adapun syaratnya adalah sebagai berikut :
- Loading factor harus signifikan. Agar indicator variabel yang digunakan dapat disimpulkan valid, maka pada AMOS dapat dilihat pada output Standardization Regression Weight SEM nilai critical rationya hendaknya lebih besar dari dua kali standar errornya (SE),
- Nilai Standardized loading estimate harus ≥ 0,50.
5. Interpretasi dan Modifikasi Model
Ketika model telah dinyatakan diterima, maka peneliti dapat mempertimbangkan dilakukannya modifikasi model untuk memperbaiki penjelasan teoritis atau goodness of fit.
Modifikasi dari model awal harus dilakukan setelah dikaji banyak pertimbangan. Jika model
dimodifikasi, maka model tersebut harus diestimasi dengan data terpisah sebelum model modifikasi diterima. Pengukuran model dapat dilakukan dengan modification indices. Nilai modificationindices sama dengan terjadinya penurunan Chi-square jika koefisien diestimasi.
Dari uraian di atas, langkah – langkah analisis dengan SEM dapat digambarkan dengan flow chart berikut ini:

Sumber :
SKRIPSI STRUCTURAL EQUATION MODELING PADA PERHITUNGAN INDEKS KEPUASAN PELANGGAN DENGAN MENGGUNAKAN SOFTWARE AMOS OLEH ALBERTIN YUNITA NAWANGSARI (UNIVERSITAS NEGERI YOGYAKARTA)
core.kmi.open.ac.uk/download/pdf/11058707.pdf. 2011